学校数学兴趣小组原来男生人数占七分之四,后来又有6名男生参加进来,这样男生就占数学兴趣小组的八分之五
来源:网络收集 点击: 时间:2024-04-10【导读】:
如果是二元一次方程的话,设现在有男生x人,兴趣小组共y人,则x=5/8y,x-6=4/7y,解得x=,70,y=112,也就是说现在数学兴趣小组有男生70人。
含有两个未知数,并且含有未知数的项的次数都是1的整式方程叫做二元一次方程。所有二元一次方程都可化为ax+by+c=0(a、b≠0)的一般式与ax+by=c(a、b≠0)的标准式,否则不为二元一次方程。
但是,若在平面直角坐标系中,例如直线方程“x=1”,直线上每一个点的横坐标x都有与其相对应的纵坐标y,这种情况下“x=1”是二元一次方程。此时,二元一次方程一般式满足ax+by+c=0(a、b不同时为0)。

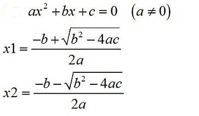
解方程
适合一个二元一次方程的每一对未知数的值,叫做这个二元一次方程的一个解。对于任何一个二元一次方程,令其中一个未知数取任意一个值,都能求出与它对应的另一个未知数的值。因此,任何一个二元一次方程都有无数多个解,由这些解组成的集合,叫做这个二元一次方程的解集。
二元一次方程组的解
可以使用方程系数的矩阵行最简式来判断和求解,二元一次方程组中各个方程的公共解,叫做一组二元一次方程组的解。二元一次方程组通常有唯一解,但有时有无数解,有时无解。
以上内容参考:百度百科-二元一次方程
版权声明:
1、本文系转载,版权归原作者所有,旨在传递信息,不代表看本站的观点和立场。
2、本站仅提供信息发布平台,不承担相关法律责任。
3、若侵犯您的版权或隐私,请联系本站管理员删除。
4、文章链接:http://www.ff371.cn/art_479966.html
上一篇:微信绑定微众银行卡提示该银行卡已失效解决方法
下一篇:QQ群如何提高搜索排名
订阅