6.8 ×1.25*6.8*8简便方法
来源:网络收集 点击: 时间:2024-02-22【导读】:
小学数学中常常会有小数点相乘的方程式,用小编的计算方法就可以更加简单的计算出来哦,一起和小编来学习一下吧。工具/原料more铅笔。橡皮擦。验算纸。方法/步骤1/5分步阅读
2/5
3/5
4/5
5/5
注意事项
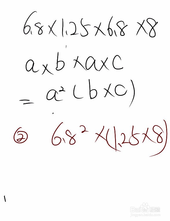
第一步我们先把题目中的小数点式字写在验算纸的中间,因为都是乘法,我们先看看它们之间的联系。
2/5根据数学中常用的小数点相乘定义,我们把式子中的数字代入方程式中得出一个新的方程式。
3/5因为1.25*8会比较简单计算我们可以把他们两个放进括号里单独计算出来。最后等于10。
4/5第四步我们要注意了,6.8的二次方是不可以拆分的,所以我们要把这个小数点的二次方一起算出来,也就是两个6.8相乘。
5/5最后我们会一个新的小数点乘以10的式子,这样就会超级简单了,我们只要把小数点前进一位就可以算出这个式子的最终结果了。
注意事项6.8 ×1.25*6.8*8简便方法的全部过程。
希望对你有所帮助。
数学小学数学方程式。版权声明:
1、本文系转载,版权归原作者所有,旨在传递信息,不代表看本站的观点和立场。
2、本站仅提供信息发布平台,不承担相关法律责任。
3、若侵犯您的版权或隐私,请联系本站管理员删除。
4、文章链接:http://www.ff371.cn/art_99380.html
上一篇:鼠标经过图片时如何发出声音
下一篇:鸡肉跟什么炒好吃
订阅